These Last Days News - July 8, 2021
URGENT: Forward a link to this web page to your clergy,
family, friends and relatives.
This 1963 Report on How the Communi*st Party Wanted to Take Over America is So Relevant for Today That It’s Unreal...
LIBERALIZING THE MASSES, CALLED SOCIALISM
"You will alert, as
followers of My Son, Jesus, those in His Church who have fallen asleep, the
bishops and the cardinals. And sad to say, My children, the ugly hand of
Communism has reached in to desecrate the Body of My Son in His own Church.
You must remember, as man goes about the world crying 'peace, love, and
brotherhood,' he sets up governments liberalizing the masses, called
socialism. And it does not operate under the true cross of My Son, Jesus,
but is used as a front to entice like a spider with his web those
unsuspecting souls who are looking for peace--peace of heart, peace of
spirit, which they cannot find in their present world because the leaders
have fallen asleep.” - Our Lady, November 25, 1978
IN THE NAME OF SOCIALISM
"You cry peace and security. And you
run about upon your earth in the name of the new modes of socialism, and
Communism, and satanism, and atheism; and all of these 'isms' come down to
one major fact in knowledge: they have been devised by satan and can be
called satanism.” – Jesus, June 2, 1979
"You must inform My children in your country that they must put into your government God-fearing men who follow the rules of the Father. If you bring murderers into the house, robbers and thieves, they will rob you until nothing remains. You will be stripped of all earthly wealth and this wealth will be turned over to one small group to govern the lives of many!" - Our Lady, November 1, 1974
The above Messages from Our Lord and Our Lady were given to Veronica Lueken at Bayside, New York. Read more
NotTheBee.com reported on July 6, 2021:
By Joel Abbott
A part of me has to admire the fiendish persistence and patience of the commies seeking to overthrow liberty. They've been pushing for decades toward a common goal, and the fruit of their poisonous effort has now infiltrated every major institution in the United States in addition to our local churches and schools.
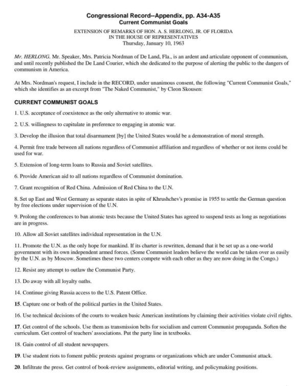
This 1963 Congressional report on the goals of the Communi*st Party in the U.S. shows how tenacious they have been in world-shaping. You may find yourself shocked to see how long they've had the goals that are now changing America:
If you've never seen the 1963 report on Communi*st Party goals (especially regarding their objective to take over the United States), I think you'll find it of interest. Lots of things on this list that feel very familiar today! pic.twitter.com/Qnm9FnaU9z
— James Lindsay, uncitable (@ConceptualJames) July 5, 2021Isn't that unreal? Let's talk about a few of their goals that have overwhelmingly been achieved.
"Provide American aid to all nations regardless of Communi*st domination."
Kinda makes sense why we're giving billions of dollars to places like Iran, which have been allied with Marxists along a common cause. If you've ever wondered why your tax dollars are being spent around the world in countries that hate you, this is why.
Promote the U.N. as the only hope for mankind. If its charter is rewritten, demand that it be set up as a one-world government with its own independent armed forces.
The Left was super annoyed at Trump standing up to globalist interests, and they are very interested in promoting global "cooperation." Your conspiracy theorist uncle who talks about the New World Order isn't as much of a conspiracy theorist as you'd like to believe.
Capture one or both of both political parties in the United States.
Democratic Party? Check! The GOP? Just get them to agree by calling them racists!
Use technical decisions of the courts to weaken basic American institutions by claiming their activities violate civil rights.
Do I NEED to explain how this has been playing out recently?
Get control of the schools. Use them as transmission belts for socialism and current Communi*st propaganda. Soften the curriculum. Get control of teachers' associations. Put the party line in textbooks.
They sure are fighting hard to defend Critical Race Theory in your kid's school, aren't they??
Use student riots to foment public protests against programs or organizations which are under Communi*st attack.
You probably can't think of a single time that this has happened in the last few years.
Infiltrate the press. Get control of book-review assignments, editorial writing, and policymaking positions.
Have you watched CNN, NBC, CBS, ABC, or MSNBC? Have you read The New York Times, The Washington Post, or about a thousand other newspapers/outlets?
Gain control of key positions in radio, TV, and motion pictures.
Continue discrediting American culture by degrading all forms of artistic expression. And American Communi*st cell was told to "eliminate all good sculpture from parks and buildings, substitute shapeless, awkward, and meaningless forms."
Down with the historic buildings and George Washington statues, in with the concrete office building and a mural of St. George Floyd!
Eliminate all laws governing obscenity by calling them "censorship" and a violation of free speech.
Ironically, decades after winning this cause, lefties are trying to defend the use of obscenity while calling your opinions "hate speech."
Break down cultural standards of morality by promoting pornography and obscenity in books, magazines, motion pictures, radio, and TV.
Yikes.
Present homosexuality, degeneracy, and promiscuity as "normal, natural, and healthy"
Current status? Kermit the frog holding a "Pride Spectacular" with a drag queen on Disney Plus.
Disney's LGBT musical event hosted by a drag queen and Kermit the Frog was weirder than we could've even imagined https://t.co/ESDxrUCtct
— Not the Bee (@Not_the_Bee) June 29, 2021Infiltrate the churches and replace religion with "social" religion.
Is it starting to make sense why your pastor and small group leader are teaching Social Justice and Critical Race Theory these days? Go buy a copy of "Fault Lines" by Voddie Baucham and go smack your woke pastor over the head with it.
Discredit the American Constitution by calling it inadequate, old-fashioned, out of step with modern needs.
This didn't work, but calling the Constitution a byproduct of systemic racism designed by whiteness IS working.
Discredit the American Founding Fathers. Present them as selfish aristocrats who had no concern for the "common man."
Since liberty was too busy making people rich across the nation, the attack angle of presenting the Founding Fathers as wealthy jerks didn't work. Decrying them as virulent racists is currently working.
Belittle all forms of American culture and discourage the teaching of American history on the ground that it was only a minor part of the "big picture."
Once again, reframing American history to promote mother Russia didn't work.
Reframing American history to erase 1776 in favor of 1619 did.
Infiltrate and gain control of more unions... of big business.
The latter goal has been increasingly achieved as more large corporations have gone woke, catering to the LGBT lobby, telling employees to "be less white," calling voter integrity laws racist, and cozying up to Communi*st China.
Transfer some of the powers of arrest from the police to social agencies.
Remember how you were told that social workers would do the jobs of defunded police department? Is that making sense now?
Discredit the family as an institution.
Considering our high rates of divorce, low rates of marriage, high rates of fatherlessness and kids being born out of wedlock, and acceptance of things like polyamory, I'd say this was a rousing success.
Create the impression that violence and insurrection are legitimate aspects of the American tradition. That students and special-interest groups should rise up and use united force to solve economic, political, or social problems.
Are you wondering why the media and the Left (but I repeat myself) is silent on the continued BLM/Antifa violence but they characterize a bunch of bumbling rioters slowly shuffling through the Capitol as the WORST THING EVER?
Commies gonna commie. They've been passionately working toward their vision for the future for decades, and it's paying off.
To beat their madness, the rest of us need a better vision and a better story.
Let's get to work, America.
GOVERNMENT
"For that one reason among many, the United States will suffer unless there is
placed into your government a group that fears the Lord if they cannot love the
Lord. They will fear Him and find measures to stop the slaughter of the unborn."
- Our Lady, April 14, 1984
FULL SCOURGE?
"I cry out, as your Mother, as a
Mediatrix from God to mankind. Listen to Me, and act upon the directions from
Heaven. Save yourselves and your children. There is little time left.
"Shall you be given a full
scourge of Communi*sm and slavery? Shall the elements be used against you to
cleanse your world? Shall mankind feel the great heat and burning of the Ball of
Redemption? You who laugh and scorn this message, the day will come when there
shall be much gnashing of teeth and woe set upon the earth.
"As it was in the days of Noe, so
it is now that man never learns from his history. He repeats his mistakes over
and over." - Our Lady, February 1, 1977
EDITOR'S
NOTE: We welcome your comments at the
end of
this page.
We strongly encourage you to print and/or email copies of this web page to all the bishops and clergy. Also, email or mail a copy of this web page to the news media and as many other people as possible. Email a copy of this page to everyone you know.
We urgently need your prayers and financial support to be able to continue to create these web pages. Click here... Thank you in advance.
Wars
are a punishment for man's sins. Abortion, homosexuality, and the changes
in the Catholic Church cry out to Heaven for just punishment.
When you pray the Holy Rosary, you have Our Lady's hand in your hand. When
you pray the Holy Rosary, you have the power of God in your hands. Start
now! Let's All Pray the Rosary for good government leaders... Click
here...
The
Virgin Mary's Bayside Prophecy Books are Now Available in E-book Version.
Click Here Now!
Our Lady of
the Roses Awesome Bayside Prophecies...
https://www.tldm.org/Bayside/
These prophecies came from Jesus, Mary, and the saints to Veronica
Lueken at Bayside, NY, from 1968 to 1995.
A FEELING THAT SIN MAY BE CONDONED UNDER THE NAME OF SOCIALISM
"Many warnings have been given in the past to mankind, that have been rejected as being a natural catastrophe. I assure you, My children, many have not been natural, but supernatural in origin. They have been coming from the Eternal Father to warn you that your time is growing short. You must cleanse your nation and all of the nations of the world of their sins of impurity. They must restore each nation under God.
"I have told you in the past, and I repeat over and over that sin is insanity, and with this insanity your peoples of the world have formed a feeling, a major feeling throughout your world, that sin may be condoned and promoted under the name of modernism, socialism, Communi*sm, atheism--which is all pure satanism.” – Our Lady, May 23, 1979CARDINALS AND BISHOPS FALLING INTO MODERNISM AND SOCIALISM
"I am the foundation of My Church. The foundation is solid, but the walls are cracking. Cardinals and bishops, shall you stand before Me and say that your teaching has been pure in My sight? I shall say unto you: many of you shall fall into the abyss, to be consumed by the fires in eternity.
"As We look and search the world for faithful and true pastors, We find that each and every cardinal and bishop has fallen into the modes of the world now, consisting of advancement in modernism, socialism, Communi*sm, and even satanism. We find there are those over the age of reason that have made a mockery of My name, of My Church, and in the name of satan, they go about as angels of light with ravenous hearts preaching doctrines of devils. You cannot escape a just punishment for your deeds.
"There shall be set upon mankind a great Warning, far greater than man has ever experienced upon earth; and woe to the man who has not repented before the Chastisement. There will be much gnashing of teeth and woe set upon the earth.” – Jesus, May 23, 1979FALSE PROPHETS
"I have asked you to read the Book of love and life, the Bible. Read with your children. Many graces shall be given to all who read and study and learn.
"There are many false prophets now teaching doctrines of demons. You must protect your children from falling in with them--false prophets trying to build a church of man, and no angels to guide them. A church of secularism, humanism, socialism, Communi*sm, and satanism.
"The Eternal Father, My children, is most merciful. I stand before Him daily, pleading for your cause, asking for more time for penance to be done by many. But these many have become few.” – Our Lady, July 14, 1979A GREAT DELUSION SET UPON THE WORLD
“Pray constantly for your bishops, all of the clergy, the cardinals in My Son's House. A great delusion has been set upon the world. It is a testing ground now for all of mankind.
"Parents shall suffer greatly for any laxity in the rule of their children. As I warned you in the past, I repeat anew, to counsel you that Lucifer and his agents from hell--Lucifer walks the earth now seeking to take command of all governments of the world, to destroy the world. Lucifer seeks to take Our children's souls, the spirit of light from them, and take all with him into the abyss.
"Yes, you are all now being tested. Sadly, the young, the children, the youth of your world are the major victims now because of the greed of many who have given themselves over to humanistic seekings, joining with all manner of evil under the guise of humanism, Communi*sm, socialism, and satanism. As I warned you in the past, Lucifer and his agents must enter into the body of a fallen soul to work his will.” – Our Lady, September 14, 1979HIGHEST PLACES IN CIVIL LIFE
"Satan has entered into the highest places in your civil life, My child, and in the houses of My Son throughout your world. His reign will be short in earth-years. I have not come to your earth to fill you with fear. I have come to prepare you for the days of trial." - Our Lady, April 13, 1974LAXITY OF LAWMAKERS
"Parents, exercise discipline in your homes, or your children shall be victimized outside their doors. Because of the laxity in the highest places of lawmakers in your country and countries throughout the world, sin has become a way of life! Murders and all manner of foul deeds are being committed!
"Discipline in government . . . The words are emblazoned: 'In God We Trust', but who is the god they trust? Man has become their god!" - Jesus, May 28, 1977EAGLE PLUCKED BY SATAN
"Your nation, the United States of America, has been now--the proud eagle has been plucked by satan; and as such shall be cleansed by trial and suffering and war. Humanism and modernism have set you on the road to satanism. Your country and many countries of the world now have adopted the worship of false idols.
"Satan, the master of deceit, has poisoned many minds. Satan, the ruler of the world of darkness, has now entered into the highest places of governments, and even within My House, My Church upon earth. But I shall cleanse them, as I have cleansed them in the past." - Jesus, June 18, 1980GREATEST PUNISHMENT TO BABYLON THE GREAT
"Sin has become a way of life in your nation and many nations upon earth. You have, in your country, the gathering of the forces of evil. Never before in the history of mankind has man set up Babylon.
"Your city, New York, shall be set in reserve for a punishment far greater than shall be given to any city upon your earth. The forces of evil fan out like a cancer, polluting the world.
"Amen, I say to you: you will listen and act upon the warnings given to you throughout your world by many emissaries from Heaven. Act upon them or be destroyed." - Jesus, June 18, 1976BRING BACK PUBLIC PRAYER
"Your country must bring back public prayer. Your country must make atonement for the offenses being committed against the God, your Lord, the King of Heaven and earth, your Creator.
"Man upon earth has chosen to give honor to man. After the great cleansing, the fruits of man's hands shall fall! Much will be reduced to ashes and rubble. He will rebuild in the manner the Father directs, under the direction of the Father.” - Our Lady, August 21, 1973TO REMOVE CHRISTIANITY
"My dear parents, please! Listen to your Mother. Listen to what I have to say to you, for I tell you the truth. The Eternal Father sees all, and makes us knowledgeable as to what is happening upon earth that will bring its eventual destruction. Your children are being educated in the schools to take all Christianity from their lives, and believe not in the supernatural things of God, but the diabolical processes of satan, in cults.” - Our Lady, June 18, 1987PRAYER OUTLAWED
"My child and My children, prayer has not become a way of life for many. That is why Communi*sm has got such a foothold in your country and in other countries of the world. The prayers given to you in your childhood will be remembered always, I know, My children; but there are those who have not received these prayers in their schools, for prayer has been outlawed in many areas of your country and the world. It took but a few without faith to bring down the flag, for even your country's flag is being defiled, My children.” - Our Lady, October 2, 1987THE BIBLE
"You will go forward with the cross in your right hand and the Bible, the Book of life, in your left. And all who deny this Book are not of the light." - Our Lady, May 22, 1974DISCIPLINARIAN
"Parents, you must now become the disciplinarian in your home. You have the major responsibility now for safeguarding the souls of your family. Do not expect your children to be guided the right way in the light by the teachers in your school systems, for all have fallen to satan.” - Jesus, November 1, 1977YOUTH INDOCTRINATED
"Your children must be protected from the evils that abound in your school systems in your country and most nations throughout the world. They are being taught immorality and a loss of faith in the supernatural and the knowledge of their God. All manner of heresy has been indoctrinated into their youthful minds. It is a diabolical plan of Lucifer.” - Our Lady, June 18, 1979A FOUL SITUATION
"A foul situation has come about in the schools, both public and private. They are now teaching sex education, My children. And this is a debauchery of your young souls. Parents, are you so blind that you do not investigate, or ask your children what has happened in their classes today at school? Show you no interest as you go about the world gathering materialism, and seeking to break your home apart by husband and wife going in both directions; neither do they work together to hold the home together, but they work apart, many leaving the children astray by not having counsel over them.” - Our Lady, September 27, 1986PRAY FOR LEADERS
"The leaders of your country and the leaders throughout the world have taken upon themselves a measure of sin creating insanity.
"In the light of the Spirit descending from Heaven, you shall be given the knowledge of truth, My children. Accept it and take it as your candle, for you must now go throughout your world saving your brothers, preparing them for what lies ahead.” – Our Lady, September 13, 1975
Directives from Heaven... https://www.tldm.org/directives/directives.htm
D134 - U.S. Government Leaders
D213 - Riches, Part 1
D214 - Riches, Part 2
D215 - Money
D224 - Restore America to One Nation Under God
D291 - Selling Their Souls
D309 - Masons and Illuminati
D364 - Babylon the Great
D380 - The Ruling Elite
D443 - Politics, Part 1
D444 - Politics, Part 2
EDITOR'S COMMENT: Evil is accelerating and the Anti-Christ forces are gaining power in the world. When the persecution starts, all Christian web sites on the internet will be forced to close. Be sure to have in your possession all the following items: the Bayside Prophecy books, Bayside Medals, Douay-Rheims Bibles, the Protection Packets, Candles, Sacramentals, and Religious Books. Purchase these items now while they are still available! You will urgently need them in the days ahead. Also, you can print out all PDF files for the Directives from Heaven and all of the Bayside Prophecies. Copy Our Lady's messages and the Directives from Heaven now while they are still available! Pray to the Holy Spirit for wisdom and guidance on how to prepare now and for the days ahead when the Antichrist is revealed. Viva Cristo Rey!
Articles...
Communi*sm's 45 goals to destroy the United States
https://www.tldm.org/news7/Communi*smInAmerica.htmKerry dismissed the threat of global Communi*sm as "bogus" before a Senate hearing in 1971
https://www.tldm.org/News7/KerryCommuni*sm2.htmKerry's campaign slogan taken from a Communi*st poem
https://www.tldm.org/news7/KerryCommuni*sm1.htmClinton's White House
https://www.tldm.org/news2/sellout.htmNancy Pelosi: WND reports that Democrats’ likely top House official part of powerful, socialist-linked bloc
https://www.tldm.org/news5/pelosi.htmRussian espionage and penetration of the U.S. government
https://www.tldm.org/news6/espionage.htmGlobal Communi*sm, part 1
https://www.tldm.org/news2/global-1.htmGlobal Communi*sm: Africa, part 2
https://www.tldm.org/news2/africa.htmHenry Kissinger: traitor to America
https://www.tldm.org/news2/kissinger.htmRussia's master plan
https://www.tldm.org/news/master_plan.htmU.S. invasion through Mexico
https://www.tldm.org/news3/Nicaragua.htm
There are 4 Things You Must Have to Survive the End Times:
1.) The Douay-Rheims Holy Bible...
"I ask that all who hear My voice will take their Bibles, and if they do not have one, search, but find the right Bible, those printed not after 1965, My children." - Jesus, October 5, 1985
"You must all obtain a copy of the Book of life and love, the Bible. Do not accept the new mods. Try to find in your bookstores the old Bibles, My children, for many are being changed to suit the carnal nature of man. I repeat, sin has become a way of life." - Our Lady, October 6, 1992
"I must ask you all to read but a few short chapters a day now, the Book of life and love, your Bible. Knowledge must be gained for all the disciples of My Son, for you will be attacked by scientific minds. But do not be concerned what you will say to them when accosted, for the words will be given to you by the Spirit." - Our Lady, April 10, 1976
The Douay-Rheims Bible was published in 1899. It is the official Bible of the Roman Catholic Church. Almost all other Bibles have been rewritten by Satan. See: https://www.tldm.org/directives/d33.htm , https://www.tldm.org/directives/d415.htm and https://www.tldm.org/directives/d182.htm If you don't have a Douay-Rheims Bible order it now! (Order Form) Yours and your loved ones salvation could depend on it.
Read the Bible cover to cover. If you read 4 chapters a day, you will complete the whole Bible in 334 days. I have read the Bible 2 times and working on the third time. A 75 year old Baptism gentleman told me that he and his wife have read the Bible nine times. Wow!
2.) The Complete Virgin Mary’s Bayside Prophesies in 6 Paperback Books..
The Virgin Mary brings directions from God, the Father in Heaven on how to survive the end times. God, the Father, through the Virgin Mary, tells what is coming, how to prepare for it, how to survive it, and how to even stop it. These six volumes along with the Bible are most important to save yourself and your loved ones. Order it now. Tomorrow may be to late. These 6 pocket size paperback books costs $33.00. (Order Form)
3.) Heaven's Home Protection Packet...
Heaven’s Home Protection Packet...
Our Lord stated we must have crucifixes upon the outside of all of our outside doors. In the "Heaven’s Home Protection Packet" there are instructions, four crucifixes, a tube of special cement for wooden or metal crucifixes. Wooden crucifixes adhere better to the doors when the aluminum strap is removed from the back. Put a light coat of cement on the back of the crucifix and then press it to the outside of the door. If you have any problems, you can call us at 616-698-6448 for assistance. This Heaven’s Home Protection Packet is available for a donation of $10.00 plus $4.00 shipping and handling. Send $14.00 to TLD Ministries, P.O. Box 40, Lowell, MI 49331. Item # P15 (Order Form)Crucifix on front and back door... The only real protection against terrorists...
Jesus - "Pray and wear your sacramentals. And, also, My children, I ask you again to place a crucifix upon your door. Both front and back doors must have a crucifix. I say this to you because there will be carnage within your areas, and this will pass you by if you keep your crucifix upon your doors." (6-30-84) (Testimonies of lives and homes saved by the crucifixes.) https://www.tldm.org/news/crucifix.htm (Order Form)
4.) Heaven's Personal Protection Packet...
Heaven’s Personal Protection Packet . . .
Our Lady tells us to be protected from all evil, we must wear the following sacramentals around our necks: a Rosary, a crucifix, the St. Benedict medal, Our Lady of the Roses medal, the Miraculous Medal, and the scapular. We have all of these sacramentals in a packet we call "Heaven's Personal Protection Packet." This packet is available for a donation of $7.00 plus $3.00 shipping and handling. Send $10.00 to TLD Ministries, P.O. Box 40, Lowell, MI 49331. Item # P5 (Order Form)Our Lady of the Roses, Mary Help of Mothers promises to help protect our children. On September 13, 1977, She said, "He has an army of ogres wandering now throughout your country and all of the countries of the world. They are in possession of great power; so wear your sacramentals, and protect your children and your households. Learn the use every day of holy water throughout your household. Insist even with obstructions, insist that your children always wear a sacramental. One day they will understand that they will repel the demons."
On February 1, 1974, Our Lady said, "My children, know the value of these sacramentals. Guard your children well. You must awaken to the knowledge that you will not be protected without the sacramentals. Guard your children's souls. They must be surrounded with an aura of purity. Remove them if necessary from the sources of contamination, be it your schools or even false pastors."
This Heaven’s Personal Protection Packet is available for a donation of $7.00 plus $3.00 shipping and handling. Send $10.00 to TLD Ministries, P.O. Box 40, Lowell, MI 49331. You may use your MasterCard, VISA, or American Express and call 1-616-698-6448. Item # P5 (Order Form)
Incredible Bayside Prophecies on the United States and Canada book . . .
We have researched the Bayside Prophecies on the United States and Canada and put these outstanding prophecies in a 360 page pocket size paperback book. Veronica said it was very good. It tells what is going to happen here and how to prepare for it. Every North American must read this book! Item #B2 Cost $5.00 (Order Form)
My gift to help spread Our Lady of the Roses' messages to the world.
Comments
| Home - Latest News | Introduction | Bayside Prophecies | Directives from Heaven | Order Form | Miracles & Cures | Veronica Lueken | Miraculous Photos | Bible | Radio Program | Bayside Videos |
We encourage everyone to print or email copies of this web page to all the Bishops and all the clergy. Also, email or send this web page to the news media and as many people as possible.
The electronic form of this document is copyrighted.
Quotations are permissible as long as this web site is acknowledged with a
hyperlink to:
https://www.tldm.org
Copyright © These Last Days Ministries, Inc. 1996 - 2021 All rights
reserved.
P.O. Box 40
616-698-6448
Lowell, MI 49331-0040
Revised: June 21, 2022



